你的位置:d88尊龙官网app > 新闻动态 > 同步辐射(XAFS)透射模式、荧光模式怎么选?
发布日期:2025-07-19 18:02 点击次数:180
XAFS的两种模式
一般来说,XAFS中有用的信息Δμ(吸收系数的振荡部分)只占总吸收强度的百分之几,这就需求对实验的测量必须有很高的精度。
实验的关键在于采用能量可调的高亮度X射线光源和选用高性能的探测器采集XAFS数据。目前,光源通常为高通量的同步辐射装置,并通过双晶单色器来获得高能量分辨的单色光。
为了满足不同的研究需要,研究者已发展了多种XAFS测量方法,其中最常用的就是透射法和荧光法。

同步辐射光源具有方向性强、高辐射强度、高稳定性、偏振性等性能。对于XAFS实验,它是具有广阔平滑连续谱的理想光源。
使用单色器可从同步辐射中选取一定波长的单色光,并可在一段波长范围内连续扫描,这一优点对XAFS测量极为有利。

在测量样品中浓度很小元素的XAFS时,同步辐射更是其他X射线源不能比拟的。并且同步辐射光源具有脉冲时间结构,这一特点有利于开展动力学过程的研究。
XAFS实验需要波长可调的单色X射线。
在同步辐射光源上,广泛使用平行双晶单色器,入射同步辐射束具有连续谱,经过平行双晶单色器,出射光束的方向与入射束平行,其波长λ由布拉格公式2dsinθ=nλ决定,因此可利用改变单色器与入射光束的夹角θ来实现X射线的单色化和改变入射X射线的能量。
消除高次谐波
值得一提的是,出射光束中,除基波外,往往还有高次谐波存在,而高次谐波会对XAFS信号带来严重的扭曲,因此测量中需要消除。
一般的做法是将双晶单色器第二块晶体适当转离平行位置,使单色器的两块晶体呈现一定的失谐(detuning),虽然这对出射光强有一定的减弱(一般减弱至70%~90%),但可以有效地抑制高次谐波。
01
XAFS实验注意事项
为在测量中避免各种虚假信号的干扰,得到比较高的信噪比,实验中必须注意以下几点:
调整好的光路既有最大的稳定光强同时又可有效地消除高次谐波的影响;
探测器在测量某一元素XAFS数据的能量范围内具有良好的线性;
在测量的全部能量范围内样品处的光斑位置和大小恒定;
探测器至少有约106的实际光子计数, μ(E)数据的本底噪音水平低于10−3,以避免采集数据时统计涨落误差的影响。
02
XAFS透射模式
透射模式是采集XAFS信号最方便的方法,所得的谱也具有较佳质量,但它只对高浓度样品(一般待测元素的质量百分比>10%)适用。
如下图所示,一束单色光穿过样品,通过前、后电离室分别测量入射X射线I0和出射X射线It的强度,可得吸收系数μ(E)=ln(It/I0)。
通过转动单色器晶体而改变单色X射线的波长,就可得到波长连续可调的单色X射线,同时同步测量I0和It,就可得到μ(E)。

对于透射模式,后探测器依然为气体电离室,在保证后电离室有一定光子计数下,为了获得一个适当的It值,必须使电离室都工作在线性区,优化样品的厚度。
一般来说,应调整样品的厚度d以使跳高Δμd≈1 (跳高: 边前吸收曲线外延至吸收边E0处与吸收边后曲线外延至E0处的高度差值)。这样就可以避免所谓的“厚度效应”对谱线的扭曲。
此外, 样品需要尽可能均匀,没有孔洞,以避免漏光的现象。如果充分地满足了这些条件,那么透射法测量就能够给出高质量的XAFS谱。

鉴于透射法测量时吸收长度的重要性,在每次实验前,应清楚待测样品在待测吸收边处的吸收系数μ(cm−1)。对于单质,μ与吸收截面σ (g/cm3)以及材料密度ρ (g/cm3)之间的关系为μ=ρ∙σ;对于多种元素组成的物质, 总吸收系数为

其中, ρM为样品密度,mi/M为第i个元素的质量分数。需要注意的是,由于吸收截面依赖于能量,同一样品在不同吸收边处的吸收系数是不同的。
对金属Fe,密度ρ=7.86 g/cm3,在其K吸收边(7112 eV)前、后的吸收截面σ值分别为53.3和407.6 cm2/g,因此在吸收边前后的吸收系数差Δμ=ρΔσ=7.86×(407.6−53.3)=2784.8 cm−1。根据透射法测量Δμd≈1的要求, 样品的最佳厚度d=1/2784.8=0.00036 cm=3.6 μm。
对于Fe的氧化物如Fe3O4,同样通过以上公式计算可知其最佳样品厚度为7.5 μm。
对更重的金属如Ag,其K吸收边处的最佳样品厚度则大得多,达21 μm。
对浓度较低的溶液样品,样品厚度d通常在毫米量级。
在软X射线波段,样品最佳厚度要小得多;如金属Al,最佳厚度只有1.0 μm。
如果要求的样品太薄,实际上很难保证样品的均匀性,因此一般不采用透射法测量。
03
XAFS荧光模式
在透射法的测量中,必须把样品调整到合适的厚度,以使跳高Δμd≈1,但是对于浓度比较低的样品,这会使d很大,大大增加了样品中其他元素对X射线的吸收,致使透射光的强度急剧衰减,信噪比迅速降低。
在这种情况下,用荧光法测量更为适合。为了采集到高质量的荧光XAFS谱,需要收集尽可能多的可用荧光信号。

尽管通常情况下荧光发射是各向同性的,但是由于来自同步光源的X射线在电子轨道平面上是偏振的,因此散射强度是各向异性的。这就意味着弹性散射在与入射光垂直的平面上是被强烈抑制的。
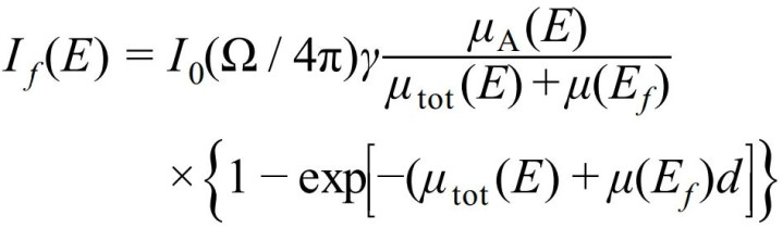
因此,荧光探测器通常都布置在与入射光成直角的位置上,而样品则放置在与入射光和探测器均成45°角的位置上。在这种排布方式下,在Ω/4π 的立体角内探测器接收到的荧光信号强度If (E)为

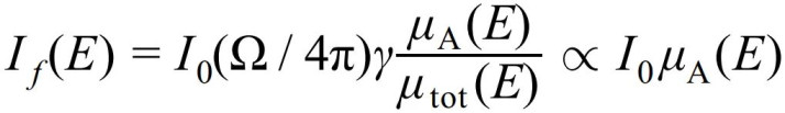
其中I0是入射X射线强度,γ是荧光产额,E为入射X射线能量,Ef是荧光Kα射线能量,μA(E)为待测元素A的吸收系数,μb(E)为样品中所有其他原子以及吸收原子中的其他未激发电子的吸收, μtot(Ef)为在荧光能量处的总吸收系数. 当μtot(Ef)+μb(E)>>μA(E)时, 由以上公式可见If∝I0μA(E),从而

这就是荧光XAFS测量的依据。
需要特别强调的是,以上公式需要在如下极限情况下方能成立:
(1)样品较薄(如厚度在300 nm以下),这样−(μtot(E)+μ(Ef))d

(2)样品较厚, 但待测元素浓度很低, 这样μtot(E)>>μA(E), 1−exp[−(μtot(E)+μ(Ef))d]≈1。因此

因此,对于厚而浓的样品,以上两个条件中的任一个都不能满足,那么If ∝I0μA(E)将不能成立,导致荧光XAFS信号出现严重扭曲,这就是熟知的“自吸收效应”,实验中必须设法避免。
在荧光测量模式中,样品发射的X射线包括待测元素的荧光发射线、样品中其他元素的荧光发射线以及弹性和非弹性(康普顿)散射X射线。
实验中希望仅采集待测元素的荧光信号,而完全抑制散射峰和其他荧光信号。通常的做法是在荧光探测器和样品之间加上滤波片,滤波片由含有吸收边在待测元素荧光能量和X射线弹性散射能量之间的元素组成,这样它将允许待测元素的荧光X射线通过而将弹性散射X光子吸收。
一般滤波片由原子序数比待测元素原子序数Z小1的元素(即Z−1元素)组成,可以将散射信号的强度降低一个量级。同时样品与电离室之间加上Soller狭缝,只允许样品发出的荧光通过,而将大部分的杂散光挡住。
用荧光法测量XAFS谱时,I0探测器仍然可用气体电离室。当被测元素的浓度不太低、荧光强度足够强时,可以用气体电离室作为荧光探测器。
在测量非常薄的薄膜样品或者浓度极稀的样品时, 为了获得高信噪比的信号,常使用高灵敏和低噪音的多元高纯Ge固体探测器或探测器阵列,它们的最大优点是具有很高的能量分辨率和很高的灵敏度,但测量时间相对较长。
荧光法特别适合于分析样品中含量较少的元素(根据光源和样品的情况可达到ppm量级)。此外,分析生物分子也是XAFS的重要应用方向,如确定金属蛋白质中的金属原子的近邻结构。
04
XAFS优点总结
总的说来,XAFS具有以下优点:
(1)它决定于原子间短程有序作用,与研究对象的原子是否周期排列无关,对于样品的状态无特殊要求,既可以是固体和液体,还可以是气体等。
(2)具有元素选择性,可通过调节入射X射线能量对化合物或混合物中各种原子分别进行研究。
(3)利用高强度的同步辐射X射线源和荧光XAFS技术可以测定样品中含量很少的元素的原子近邻结构。
(4)利用同步辐射光源的偏振性,可以对有取向样品的键角进行测量,可测量表面吸附原子的取向。
有兴趣的读者可以查阅以下资料,获取更多知识。

Koningsberger DC, Prins R. X-ray Absorption: Principles, Applications, Techniques of EXAFS, SEXAFS and XANES. New York: Wiley, 1988.

Bunker G. A Practical Guide to X-ray Absorption Fine Structure Spectroscopy. Cambridge: Cambridge University Press, 2010.

Diaz-Moreno S. J Synchrotron Rad, 2012, 19: 863-868
Powered by d88尊龙官网app @2013-2022 RSS地图 HTML地图
Copyright Powered by365建站 © 2013-2024